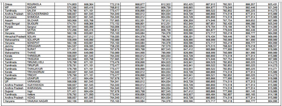
Witnessed the launch of Ford EcoSport this afternoon, and now it’s time for you to know the specific price tags related to your city or town. Yes, we have managed to get the whole pricing list of EcoSport which says specific terms about your respective location.
Don’t believe your eyes, Thane and Kolhapur in Maharashtra are priced with the lowest possible term but the Vellore and Madurai are surprisingly bargained for the highest number in the country, in spite the latter ones are located so close to the manufacturing bay of the car.
Well, check the rest by yourself and do let us know had you find this proposition useful or not.

So India now you have the reason to rejoice for this feasting list. We have posted it in the blog for your convenience.







Leave a Reply